抗压强度试验中压力试验机偏载性能的分析和测

作者:未知 编辑:山东精诚自动化设备 来源:https://sdjcsb.net/ 发布日期:2018.09.26

  许多建材在投入使用前都需要进行抗压强度的试验,比如砖砌体、水泥、混凝土(砼)等。抗压强度作为其重要的物理性能,直接指导着水泥及混凝土制造厂的生产和建筑设计院的设计,是建筑工程中不可或缺的参数。GB/T 50081—2002《普通混凝土力学性能试验方法标准》以及GB 17671—1999《水泥胶砂强度检验方法》中规定了混凝土和水泥抗压试验中主要使用的压力试验机测量精度应不低于1%(一级)。与之对应的,国家计量检定规程JJG 139—2014《拉力、压力和全能试验机》规定了对压力试验机的检定方法,然而,其中的检定方法仅仅只是对试验总力值进行了测量,虽然力值准确了,但试验中却经常出现同一批试块在不同压力试验机上的结果大相径庭的情况。

  分析后发现,由于压力试验机制造和使用不当、老化磨损、机件变形等原因,会使其或多或少存在着偏载,造成试块受压不均匀,出现受压大的部分先破坏,随后其它部分陆续破坏的现象。所以由于偏载的存在,势必对试验数据产生不良影响,这样的试验结果并不能真实反映试件性能,造成试验数据的不可靠,从而造成材料浪费甚至威胁建筑安全。针对上述现有检定方法存在的问题,笔者经过试验,验证了一种压力试验机偏载的测试方法,能够检测出压力试验机偏载参数的大小并且能够测试出偏移量。

压力试验机

  1 测试原理和多点检测(方案1)

  在JJG 139—2014《拉力、压力和全能试验机》规定的检定方法中,由一个传感器进行力值的测量,测量的结果用于判定压力试验机压力载荷的示值准确度。如果在压力面上对称分布多个同样的负荷传感器,由于偏载的存在,各传感器测得的力值便会产生差异。

  具体方案是,设计一个由四个负荷传感器组成的传感器组,如图1所示。四个传感器围绕几何中心对称分布在x轴和y轴上,上下以盖板固定,上盖板凸出一个和试块底面相同的接触平台用于模拟试块。测量时放置于试验机的指定位置(传感器组的几何中心)。

  

 

  图1 试验装置示意图

  力矩平衡原理告诉我们,在力矩平衡时,力矩和为零,也就是受力面上可以看作是多个力矩的平衡。通过正交分解,沿x轴、y轴的合力矩也为零。为方便计算,分别分析以几何中心为原点时,x轴和y轴上的力矩。

  四个传感器以几何中心对称分布,到几何中心的距离均为R,如图2所示。

  

 

  图2 正交方案

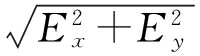
  在x轴上:当无偏载时,力中心和几何中心重合:F2R=F3R;当出现偏载时,F2R≠F3R,力中心不再和几何中心重合。这时,设偏移距离为dx(右为正),有力矩平衡:

  F3(R-dx)=F2(R+dx)+(F1+F4)dx

  变换得x轴上的偏移量Ex:

  Ex=

  

 

  =

  

 

  (1)

  可以看出,偏移量Ex就是偏移距离和传感器所在圆半径的比值,单位为“%”,定义向右偏移为正,它反映了在x轴上的力中心的偏移状况。同理可得y轴上的偏移量Ey:

  Ey=

  

 

  =

  

 

  (2)

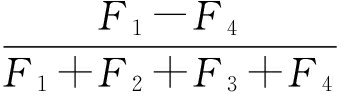
  合成偏移量E:

  E=

  

 

  (3)

  E的实际意义是:力中心相对于几何中心的偏移量和传感器所在圆的半径R的比值,由于是Ex和Ey的模量,无负值,可以作为判定压力试验机的偏载性能的依据。

  2 三点式的偏载检测(方案2)

  但是实际中,由于传感器制造时不可避免的会出现公差,在四个传感器的方案中,传感器的端面高度肯定不会在一个平面上,这个差别虽然很小,对上下面的平行度影响可忽略,但是在传感器装配完成后,高度差会使互为对角的两组传感器一组受压,一组受拉,这种差别可以尽量减小,但很难消除。因此根据三点确定平面的原理,考虑使用三个传感器进行偏载检测,如图3所示。

  

 

  图3 三传感器方案

  其x轴和y轴方向的偏移量为:

  Ex=

  

 

  ·

  

 

  (4)

  Ey=

  

 

  ·

  

 

  (5)

  合成偏移量同式(3)。

  3 偏移量的计算

  在得到了Ex、Ey后,如果需要修正偏载,可以计算偏移量dx、dy:

  dx=Ex·R

  (6)

  dy=Ey·R

  (7)

  dx、dy参见图1,计算结果向右为正,向上为正。某些情况下,可用作压力试验机偏载的修正补偿。

  4 偏置和传感器的装配

  在指示仪表中的放大电路中,为了避免放大电路在接近零点附近的性能变劣,加入了一定幅度的偏置量(offset)。偏置的加入一方面是为了改善放大电路在小信号时的线性,另一方面也为消除传感器产生的拉力(负)载荷留有余量。偏置量一般取到全量限的5%~10%。偏置量太小,调整空间小,容易进入放大电路的非线性区,太大的偏置量会损失仪表的测量分辨率。在这种情况下,为避免放大电路进入非线性区,传感器产生的等效拉力载荷不允许超过这个量。

  目前常见传感器的装配方式有两种,一是上下端面固定的方式,两端面分别固定在上下盖板上,在工作中可以承受压力和少量拉力;另一种传感器的装配方式为穿芯式固定,如图4所示。传感器紧固时进行了预紧,只可以测出压力载荷,不能用于测量拉力。

  

 

  图4 穿芯式安装

  5 佳测试区

  在以上方案中,传感器所围成的区域,其内部特点是:在传感器上的压力载荷只会使每个传感器的受力正向增加,而不会减少,称为佳测试区。之所以称之为“佳”,是因为力中心超出这个范围时,就有可能在某传感器上出现拉力。如图5所示。

  

 

  图5 偏载使传感器产生拉力

  假设在某种情况下,P点为力中心,P产生的力矩M=p·PX(p为P点压力,PX为P点到X点的距离),由于A、C的支撑,B传感器将受到拉力载荷。M随着载荷增加而不断增加,由于偏置的存在,仅允许B传感器承受一定量的拉力载荷,当M的作用超出偏置所留得余量时所造成的后果是,测量的线性变差甚至是错误的。

  因此,要避免负荷传感器受力变小甚至产生拉力,可以采取:1)加大偏置或预紧力。缺点是会降低测量的分辨力和测量范围。2)加大佳测试区域的面积,也就是加大传感器间距。缺点是会加大测量装置的体积,还会增加上盖板变形等因素的影响。3)限制偏载量的测量范围。

  6 试验验证

  为验证以上的理论,我们按照方案1和方案2分别定制了两个传感器组,在一台200t压力试验机上进行了验证,试验前对每只传感器进行了标定,试验结果如表1和表2所示。

  从试验的结果来看,表1试验结果和目测结果略有差距,分析可能是因为现场标定时带入了误差。表2中第一组的传感器2和传感器3的受力和大于传感器1和传感器4的受力和,说明传感器2和传感器3的高度略大。但是两次试验偏移量的计算结果一致性很好,相当理想。

  表1 方案2验证实测结果(传感器放于目测中心)

  

 

  表2 方案1验证实测结果(人为偏移约25mm)

  

 

  在另外一台用户反应测试结果偏差较大的试验机上进行验证时,试验证明确实存在偏载,按照方案1试验结果如表3所示。

  表3 方案1验证实测结果(异常状况下)

  

 

  在试验中可以发现,和前面的人为偏载不同,随着载荷的增加,偏载测量结果逐渐变小,在重复的试验中,这种变化始终存在。这种变化说明,机器的机件在载荷的作用下,逐渐接近正常状态(并非恢复正常)。同样可以推测,并非所有试验机的偏载都是随载荷变小的,不能排除一些机器是正相关的。但不管怎样,当偏载程度超出一定程度时,应该认为,这台压力试验机是不合格的。

  随后按照偏移量进行修正后,经过一定量的试块实际试验后,与偏载测试结论相符。

压力试验机

  7 小结

  在以上的偏载测量方案中,测量装置的机械加工误差是影响测量结果的重要因素,包括传感器制造差别、安装偏差、上下表面的平行度等,应通过提高加工精度、装配精度以及预紧来消除。在我们的验证传感器中,由于采用了较厚的、有良好刚度的上盖,忽略了试验中由于上盖变形产生的影响。

  以上方案为压力试验机偏载参数的测量提供了一种技术方案,经过试验验证是可行的,希望能减少在建筑材料抗压强度试验中由偏载因素产生的不确定性。

【相关推荐】
查看详情 + 上一条 基于VB的一种压力试验机可视化测试软件
查看详情 + 下一条 抗压强度试验中压力试验机偏载性能的分析和测

山东精诚工业自动化设备有限公司 版权所有

备案号:鲁ICP备2025148310号

咨询热线:18668952203

联系我们

  • 邮箱:sdjcgysb@163.com
  • 手机:18668952203
  • 手机:15653138501
  • 公司地址:山东省聊城市莘县河店镇马桥工业园西首路南

关注我们